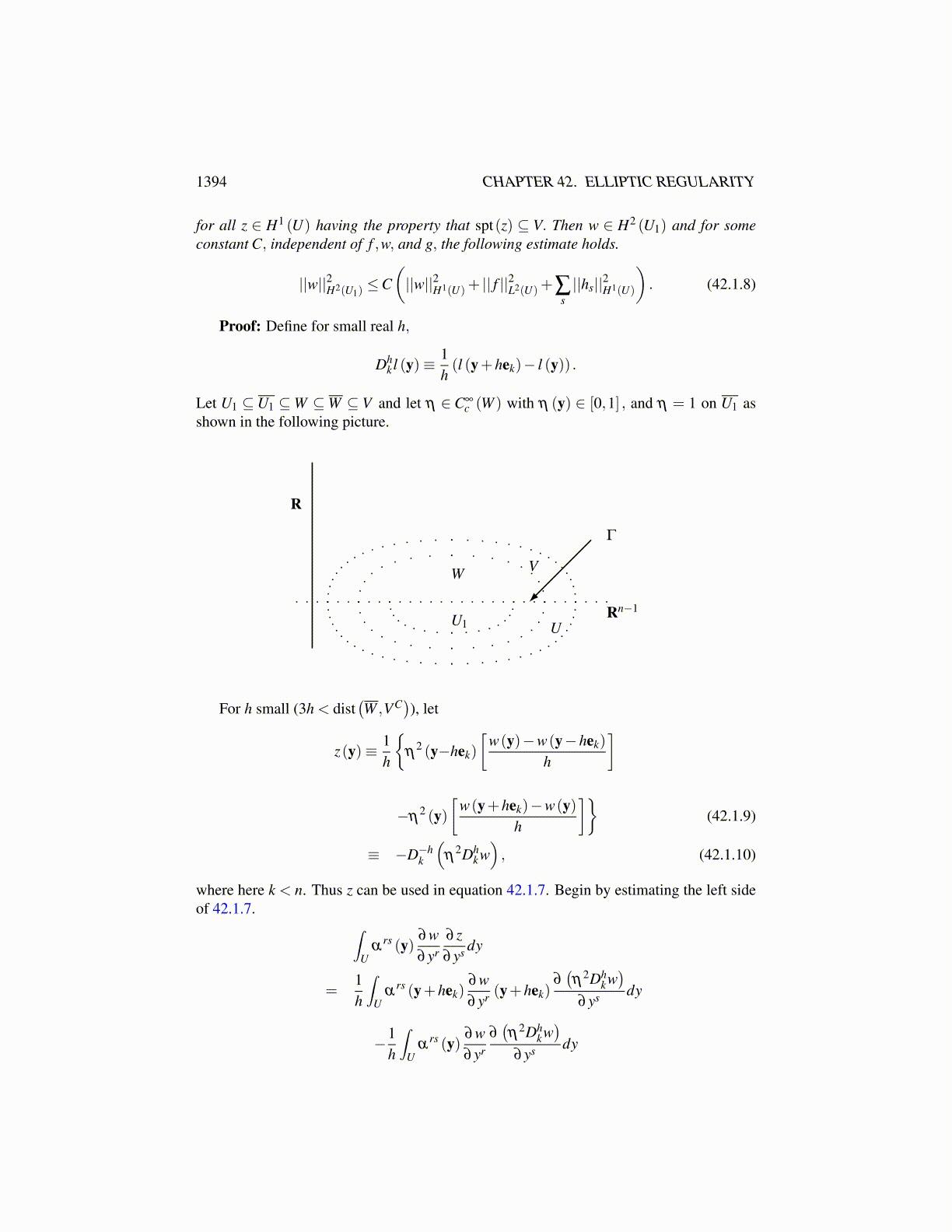
1394 CHAPTER 42. MAXIMAL MONOTONE OPERATORS, HILBERT SPACE

and so|y1− y2| |x1− x2| ≥ |x1− x2|2

which shows ∣∣∣(I +∂φ)−1 (y1)− (I +∂φ)−1 (y2)∣∣∣≤ |y1− y2|.

This proves the lemma.Here is another proof.

Lemma 42.3.23 Let φ be convex, proper and lower semicontinuous on X a reflexive Ba-nach space having strictly convex norm, then for each α > 0,

I +α∂φ

is onto.

Proof: By separation theorems applied to the eipgraph of φ , and since φ is proper, thereexists w∗ such that

(w∗,x)+b≤ αφ (x)

for all x. Pick y ∈ H. Then consider

12|y− x|2 +αφ (x)

This functional of x is bounded below by

12|y− x|2 +(w∗,x)+b

Thus it is clearly coercive. Hence any minimizing sequence has a weakly convergent sub-sequence. It follows from lower semicontinuity that there exists x0 which minimizes thisfunctional. Hence, if z ̸= x0,

0≤ 12|y− z|2 +αφ (z)−

(12|y− x0|2 +αφ (x0)

)Then writing |y− z|2 = |y− x0|2 + |z− x0|2−2(y− x0,z− x0) ,

=12|y− x0|2 +

12|z− x0|2− (y− x0,z− x0)+αφ (z)− 1

2|y− x0|2−αφ (x0)

=12|z− x0|2− (y− x0,z− x0)+αφ (z)−αφ (x0)

Thus, letting z be replaced with x0 + t (z− x0) for small positive t,

t (y− x0,z− x0)≤t2

2|z− x0|2 +αφ (x0 + t (z− x0))−αφ (x0)

≤ t2

2|z− x0|2 +αφ (x0 + t (z− x0))−αφ (x0)