57.4. JENSEN’S FORMULA 1801

57.4 Jensen’s FormulaThis interesting formula relates the zeros of an analytic function to an integral. The proofgiven here follows Alfors, [3]. First, here is a technical lemma.

Lemma 57.4.1 ∫π

−π

ln∣∣∣1− eiθ

∣∣∣dθ = 0.

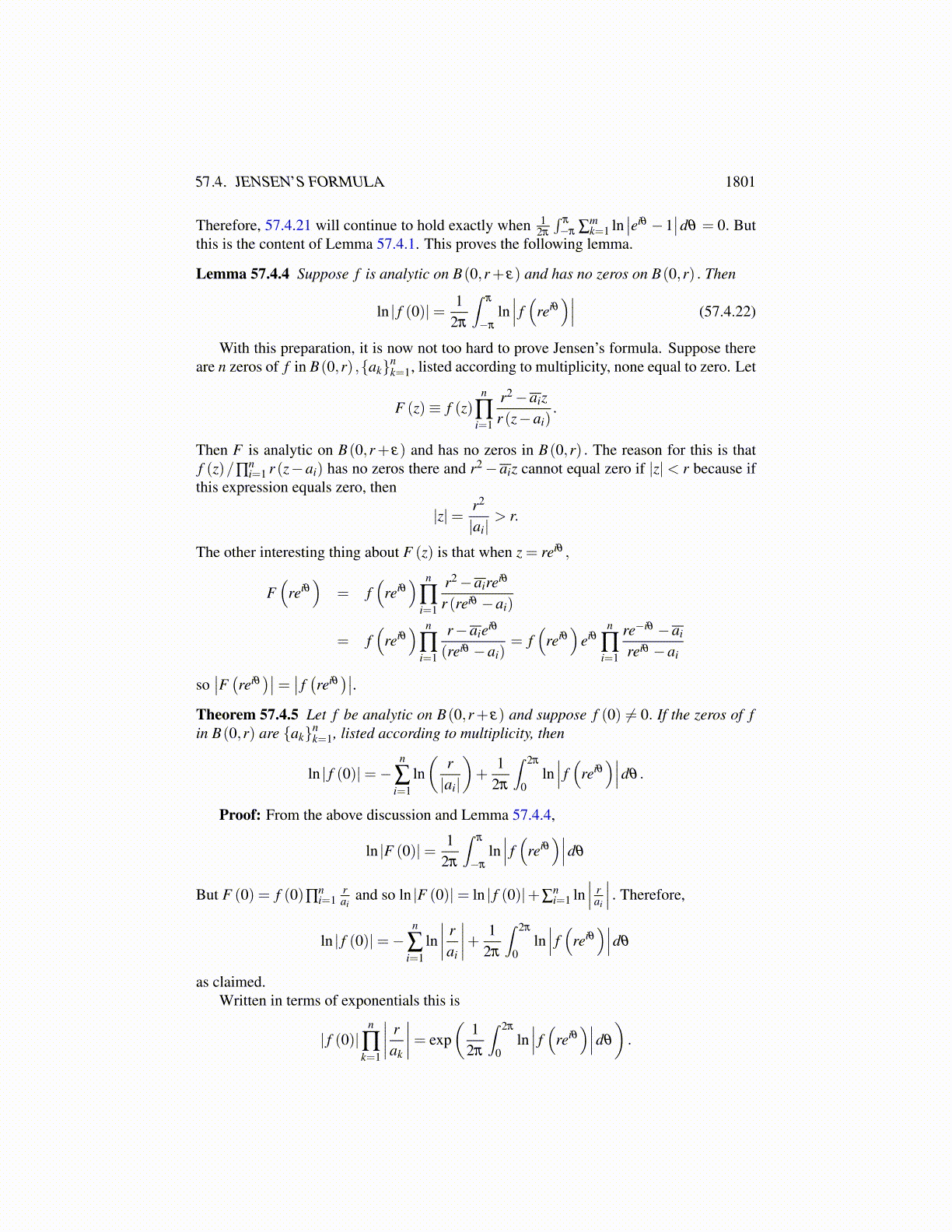
Proof: First note that the only problem with the integrand occurs when θ = 0. However,this is an integrable singularity so the integral will end up making sense. Letting z = eiθ ,you could get the above integral as a limit as ε→ 0 of the following contour integral whereγε is the contour shown in the following picture with the radius of the big circle equal to 1and the radius of the little circle equal to ε..∫

γε

ln |1− z|iz

dz.

1

On the indicated contour, 1− z lies in the half plane Rez > 0 and so log(1− z) =ln |1− z|+ iarg(1− z). The above integral equals∫

γε

log(1− z)iz

dz−∫

γε

arg(1− z)z

dz

The first of these integrals equals zero because the integrand has a removable singularity at0. The second equals

i∫ −ηε

−π

arg(

1− eiθ)

dθ + i∫

π

ηε

arg(

1− eiθ)

+εi∫ −π

− π2−λ ε

θdθ + εi∫ π

2−λ ε

π

θdθ

where ηε ,λ ε → 0 as ε → 0. The last two terms converge to 0 as ε → 0 while the firsttwo add to zero. To see this, change the variable in the first integral and then recall thatwhen you multiply complex numbers you add the arguments. Thus you end up integratingarg(real valued function) which equals zero.

In this material on Jensen’s equation, ε will denote a small positive number. Its valueis not important as long as it is positive. Therefore, it may change from place to place.

57.4. JENSEN’S FORMULA 180157.4 Jensen’s FormulaThis interesting formula relates the zeros of an analytic function to an integral. The proofgiven here follows Alfors, [3]. First, here is a technical lemma.ba ;/ In|l—e”—7TProof: First note that the only problem with the integrand occurs when 6 = 0. However,this is an integrable singularity so the integral will end up making sense. Letting z = e’°,you could get the above integral as a limit as € — 0 of the following contour integral whereY- is the contour shown in the following picture with the radius of the big circle equal to 1and the radius of the little circle equal to €..Injl —i InfoSe IKLemma 57.4.1dd =0.On the indicated contour, 1 — z lies in the half plane Rez > 0 and so log(1—z) =In|1 —z|+iarg (1 —z). The above integral equalslog(d—z), — f arg(1—z)[= dz [Se1Z &€ €The first of these integrals equals zero because the integrand has a removable singularity at0. The second equals_ fle mr) kid idif arg(1—e”) doi [ arg (1—e*) a6_n n€—1 Bde+ei | edo +ei | 6daJ—-E-j Jt2where 1).,A¢ — 0 as € — 0. The last two terms converge to 0 as € — 0 while the firsttwo add to zero. To see this, change the variable in the first integral and then recall thatwhen you multiply complex numbers you add the arguments. Thus you end up integratingarg (real valued function) which equals zero.In this material on Jensen’s equation, € will denote a small positive number. Its valueis not important as long as it is positive. Therefore, it may change from place to place.