Home
Real and Functional Analysis
Elementary Differential Equations
Elementary Linear Algebra
Engineering Math
One Variable Advanced Calculus
Calculus of One And Many Variables
Linear Algebra
Analysis
Analysis of Functions of Many Variables
Linear Algebra and Analysis
Complex Analysis
Interrogation of Hiroshi Oshima
Topics in Analysis
Home
Real and Functional Analysis
Elementary Differential Equations
Elementary Linear Algebra
Engineering Math
One Variable Advanced Calculus
Calculus of One And Many Variables
Linear Algebra
Analysis
Analysis of Functions of Many Variables
Linear Algebra and Analysis
Complex Analysis
Interrogation of Hiroshi Oshima
Topics in Analysis
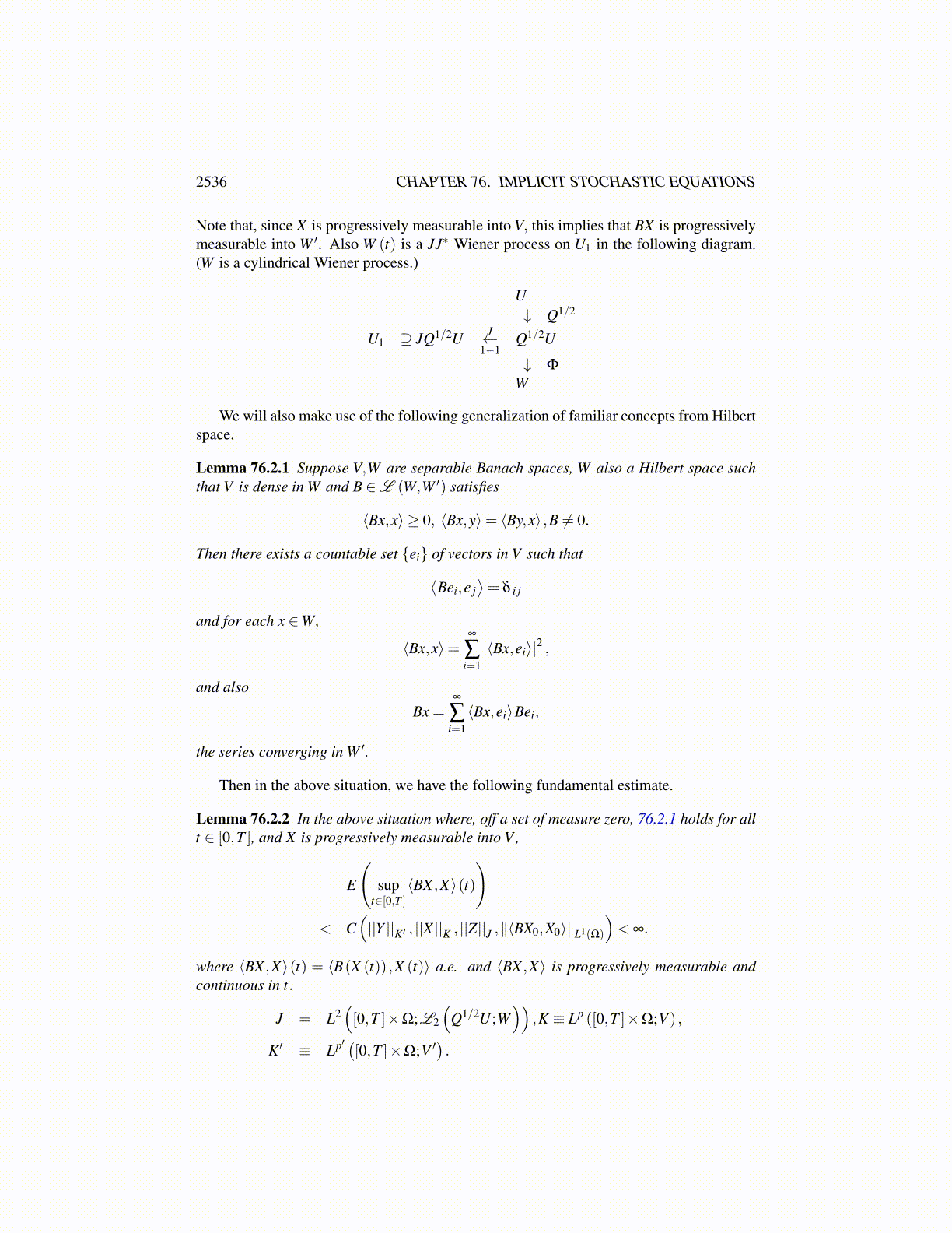
2536 CHAPTER 75. SOME NONLINEAR OPERATORS