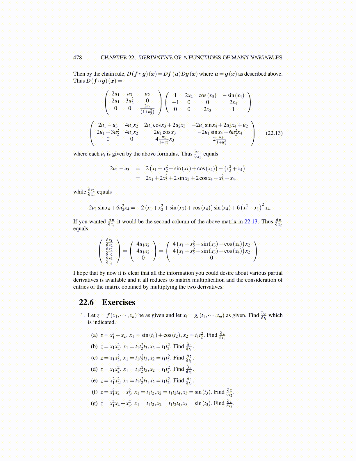
478 CHAPTER 22. DERIVATIVE OF A FUNCTIONS OF MANY VARIABLES

22.6.1 Related Rates Problems

Sometimes several variables are related and, given information about how one variable ischanging, you want to find how the others are changing.

Example 22.6.1 Bernoulli’s law states that in an incompressible fluid,

v2

2g+ z+

Pγ=C

In Bernoulli’s law above, each of v,z, and P are functions of (x,y,z), the position of a pointin the fluid. Find a formula for ∂P

∂x in terms of the partial derivatives of the other variables.

This is an example of the chain rule. Differentiate both sides with respect to x.

vg

vx + zx +1γ

Px = 0

and so

Px =−(

vvx + zxgg

Example 22.6.2 Suppose a level curve is of the form f (x,y) =C and that near a point onthis level curve y is a differentiable function of x. Find dy

dx .

This is an example of the chain rule. Differentiate both sides with respect to x. Thisgives

fx + fydydx

= 0.

Solving for dydx gives

dydx

=− fx (x,y)

fy (x,y).

Example 22.6.3 Suppose a level surface is of the form f (x,y,z) =C. and that near a point(x,y,z) on this level surface, z is a C1 function of x and y. Find a formula for zx.

This is an example of the use of the chain rule. Differentiate both sides of the equationwith respect to x. Since yx = 0, fx + fzzx = 0. Then solving for zx,

zx =− fx (x,y,z)

fz (x,y,z)

Example 22.6.4 Polar coordinates are

x = r cosθ , y = r sinθ . (22.14)

Thus if f is a C1 scalar valued function you could ask to express fx in terms of the variablesr and θ . Do so.